本文来自微信公众号:墨子沙龙(ID:MiciusSalon),作者:林梅,题图来自:《雷神4:爱与雷霆》
超导现象,你一定不会陌生。超导现象一百多年前就被发现了——当某些材料在特定条件下(比如极低的温度),电阻会小到测不到的程度。
伴随着超导现象,超导体与之相关的其他特性也渐渐被发现,比如广为人知的迈斯纳效应。这些特性既可以帮助我们深入研究超导的科学本质,也可以被广泛地拓展到实用场景。

超导的相关效应
在与超导有关的神奇现象中,有一位必须要拥有姓名,这就是超导的“孪生兄弟”——超流。
虽然知名度没有超导那么大,但是超流在科学上的重要性一点也不逊色,它与超导有很多共通之处,可以从一个全新的角度帮助我们认识超导。
那么,究竟什么叫超流呢?

液氦超流
超流现象最早是在1937年被苏联物理学家P. Kapitsa发现的,在2.17K温度以下,含有4He的液氦能沿着极窄的玻璃狭缝流动,几乎没有任何粘滞。
超流是一种宏观量子效应,自然界中很多宏观和微观的体系都与之有关。因其重要意义,对这种现象的研究和解释,催生了若干诺贝尔奖。
其中,研究超流有一个重要的切入口,叫做涡旋。
涡旋的样子有点像龙卷风,也有点像你用勺子搅拌咖啡形成的漩涡。但究其本质,作为一种量子现象,还是有很多独特的性质,内涵比转圈圈的物质流要复杂得多。
玻色-费米,殊途同归
在量子世界,根据自旋量子数的区别,粒子可以分成两类——自旋为半整数的叫做费米子,自旋为整数的叫做玻色子,他们在很多方面的行为都有区别。
比如,玻色子不受泡利不相容原理的限制,可以“抱团”,也就是所谓玻色—爱因斯坦凝聚(BEC)。而费米子则不行。而超流与凝聚有关,所以一开始,人们认为只有4He这样的玻色子体系可以形成超流,而3He这样的费米子体系是不行的。
后来,随着理论和实验向前推进, 2.79mK以下3He的超流性被D. Lee、D. Osheroff、R. Richardson三位科学家于1972年发现,这让人们知道,费米子也是可以形成超流态的。对费米超流的解释凝结了很多理论物理学家的智慧,总的来说,可以用BCS理论(根据提出者J. Bardeen、L. V. Cooper和J. R. Schrieffer命名)来理解:电子虽然是费米子,但在极低温下,金属中的电子会彼此结合成对(库珀对),结合成库珀对的电子气表现出玻色子的特性,可能就会发生比较复杂的超流现象。
如果你对低温物理比较熟悉,看到BCS理论可能会想到两个字——超导。是的,没错,电子就是一种费米子。导体中电子如果可以畅行无阻,就进入超导态。所以,费米子体系的超流态,与超导现象息息相关,有望成为研究超导的突破口。
我们其实可以把玻色子体系和费米子体系放在一起比较和理解。两者其实并非泾渭分明。
费米子与费米子之间,如果我们将其看作两体相互作用的话,可能出现两种情况:一,两者距离较远,它们之间表现为吸引相互作用,它们弱弱地束缚成长程的库珀对,数学上,这个时候散射长度小于零(下图右);二,两者距离较近,彼此之间表现为相互排斥的状态,可形成相对紧束缚的分子对,数学上散射长度大于零(下图左)。

无论是这种紧密的抱团——玻色-爱因斯坦凝聚,还是松散的长程库珀对抱团方式——BCS态,这两种原子配对都可以导致超流态的形成。
而且,这两种方式并不是泾渭分明、彼此不可逾越的。在费什巴赫共振附近,如果我们调节磁场,随着磁场慢慢变化,原子之间的相互作用势也会发生变化,散射长度可以由负变为正,通过共振,吸引相互作用可以“渡越”到排斥相互作用,系统状态便可以实现BCS与BEC之间的平滑过渡。
这种现象为我们深入研究费米超流和玻色超流提供了可行的工具。
“咖啡”+“奶”,从量子涡旋到双超流
20世纪40年代,物理学家L. Onsager、L. Landau、R. Feynman等人在理论上发现,超流体如果旋转起来,原子可能会围绕着某些奇异点转动,这就是量子涡旋。
你可以想象,你喝咖啡的时候,会不时用小勺搅拌,杯里的咖啡会因此旋转起来。如果这时液体处于超流状态,那就会无损耗的一直旋转下去。就像超导意味着没有电阻一样,超流好像没有阻碍,可以一直流动而不停止。
你可能会说,不就是搅动咖啡形成漩涡嘛,听上去量子系统也没啥稀奇。可是,神奇的是,当你不断“搅动”超流体,会出现很多个涡旋,而且它们自发“排队”,成为规则的周期性晶格形状,像以前的蜂窝煤一样。这项发现令俄罗斯物理学家A. A. Abrikosov将2003年诺贝尔物理学奖收入囊中。

涡旋晶格
量子化涡旋是超流体独有的特征。在超冷原子体系下,已经不可能再通过4He沿狭缝流动是否粘滞,来判断是否进入超流态了,这时,量子涡旋成了研究超流的手段。
2016年,正是这种蜂窝状的涡旋明确表征了,我国科学家在国际上率先成功实现了质量不平衡的不同原子的双超流[1]。
他们将6Li和41K 进行混合,试图让质量差别达7倍的这两种原子实现双超流。两种原子像咖啡和牛奶一样,在科学家的手中,听话地进入光阱中,科学家们把两束激光化为小勺,用特定的方式“搅拌”它们。
那么,怎么知道双超流实现了呢?科学家利用高分辨成像技术,确确实实观测到了玻色—费米量子涡旋晶格。

激光搅拌超流体产生稳态涡旋晶格
涡旋三部曲
当我们可以比较好地操控冷原子,有了先进的涡旋制备和观测技术,我们就可以分步骤对超流和涡旋进行更深入的研究。潘建伟团队的涡旋三部曲就是这样的一个探索故事。
此前,费米系统中的涡旋行为,无论在数值模拟还是实验技术上都不好实现,人们更不知道BEC-BCS渡越区,费米系统涡旋行为是怎样的,与玻色系统有没有区别。中国的科学家就偏要研究一下这个“无人区”。
首先,科学家必须得到大量涡旋,并且还要能想办法控制系统在BEC和BCS之间自由过渡。
为了得到大量涡旋,科学家用的是淬火的办法。
淬火这个词,小墨最开始是在金工实习的时候见识到的。这是一种钢热处理工艺,把金属工件加热到一定温度,并保持一段时间,然后以极快的速度放入淬冷介质中冷却,使金属实现状态的转变。对原子的淬火也很类似。
一团热原子,对其进行快速降温,使其快速穿越相变临界点。这么短的时间内,原子们还来不及和远处的同伴们商量、协同、达成一致,只得在很小的空间尺度内产生很多小小的局域超流。这些数目众多的“小超流”,它们的相位是随机的,但总存在一些区域,相邻“小超流”的相位正好产生2π的旋量,那就会正好形成一个涡旋,它的极性可能向上,可能向下,旋量是量子化的。这些涡旋的位置也是随机的。

热原子淬火产生量子化涡旋
这样的过程,非常符合Kibble-Zurek机制描述的情况。该机制以Tom Kibble和Wojciech Zurek的名字命名,最开始是Kibble用来研究早期宇宙中域结构的形成等问题。后来这个机制被发现十分“普适”,可以广泛用来理解各种系统中相变点附近拓扑结构的形成,Zurek将这种思想拓展到超流中的涡旋。
那么,实验上能不能用淬火的方式在费米子体系中产生超流态和大量涡旋,产生的过程是不是符合Kibble-Zurek机制呢?科学家用6Li原子进行了尝试[2]。
为了方便研究,科学家将通常的三维结构进行压缩,让体系囚禁在一个扁扁的椭圆形势阱中,这样,就是一个准二维的结构,如果产生涡旋,极性就只有正负两种情况(对应顺时针和逆时针的旋转),于是也就只有极性和位置自由度,研究起来更为清楚明了。
通过一系列复杂的原子操控和成像技术,涡旋的形成清晰可见。
根据Kibble-Zurek机制的预测,在转变温度附近,涡旋的密度随着淬火速率减小而减小,实验结果与这个规律一致,甚至二者的代数关系也准确地在实验中体现了出来。

随机量子涡旋数量与淬火速率的关系
此外,科学家还通过调节磁场,实现了BCS-BEC渡越,研究了BCS和BEC机制下,涡旋形成的动力学差异。
最重要的是,当我们可以大量产生量子涡旋,就可以研究涡旋产生之后的各种行为。可以想象,由于涡旋极性有正有负,它们见面之后会湮灭,此外,涡旋和周围的热原子也可能会有一定的相互作用。所以,随着时间推移,产生出来的涡旋会逐渐衰减。
至此,该小组终于成为了为数不多的可以产生和观测大量涡旋,并可以通过控制系统变量实现BCS-BEC渡越的团队,为研究费米系统的涡旋动力学做足了准备。有了这样的实验条件,科学家就可以全程观测涡旋从产生到湮灭的一生,它们在空间中怎么分布,它们随时间怎么演化,这些行为与玻色子超流系统或者其它系统有没有区别,这些系统之间会不会存在一些普适的规律,如果有普适的规律,是不是源于更深层的物理?带着这些疑问,就有了三部曲的第二部[3]和第三部[4]。
在第二部中,人们希望知道,强相互作用下的费米子体系中,随机涡旋的含时衰减和空间分布行为。结果显示,无论体系的相互作用是“BEC式儿”的,还是“BCS式儿”的,无论体系的初始温度如何,涡旋衰减的行为和空间分布都十分一致,遵循着同样的函数形式,区别仅仅在于函数里的系数或幂次。更令人意想不到的是,实验结果甚至与经典二维XY模型的蒙特卡罗模拟结果都是一致的。
据此,科学家猜测,这些不同体系的行为之所以一致,可能存在着物理原理上的普适性。对于大多数物理学家来说,“普适性”三个字是他们的终极追求,比如,牛顿的三定律将地球上的苹果与宇宙中的天体运动,统一在了一套理论中,这就是牛顿力学,爱因斯坦的狭义相对论将动力学和电磁学统一在一套理论中,后来又发展了广义相对论,描述加速运动。适用范围越来越广,物理描述越来越本质。这样的科学历程,同样在研究微观世界的各种相互作用中有所体现。物理学家对于普适性有着执着的追求,他们相信,物理理论应当尽可能广泛描述各种体系,因为这体现了在深层次上,这些体系受更基本的物理规律支配。
比如,我们知道经典二维XY模型适用于自旋关联的衰减行为,与KT(Kosterlitz–Thouless) 相变有关,费米涡旋的行为与其一致,是不是预示着,涡旋动力学与自旋动力学存在某种物理上的关联,它们是不是存在深层次的普适性呢?这就是科学家接着要追问的课题。
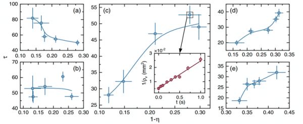
在第三部里,主要的课题是强相互作用费米超流体系中,涡旋的寿命跟温度的依赖关系(体系的演化温度通过淬火时间进行调节)。这时候,问题变得有些复杂。
结果显示,在BCS-BEC渡越附近,在BEC态下,涡旋的寿命随温度升高而降低,这与此前玻色子系统相关研究是一致的;而在BCS态下,涡旋的寿命随温度升高而增加,这与人们的直觉是完全相反的。

涡旋衰减速率的“诡异”温度依赖(a、b图为BEC状态,d、e图为BCS状态,c图为幺正极限)
为什么会这样呢?科学家给出了唯象的解释。
对于涡旋来说,影响它寿命的主要有两件事,一是涡旋与非凝聚费米子或其他热激发准粒子碰撞而产生的扩散;二是两个具有相反极化的涡流碰撞时的湮灭。
我们可以想象一下涡旋的一生:对于每个涡旋来说,终其一生,就是要寻找那个梦中的“另一半”,并与ta共度余生(尽管不一定都能找到)。给定一对随机放置的涡旋和反涡旋,由于热波动,它们会首先经历随机扩散过程,这就是在茫茫人海中找寻另一半的过程,当彼此相遇,它们会形成准束缚态,相拥起舞,如痴如醉,一段时间后,手牵手走向人生的终点,通过两体碰撞湮灭消失,就像一对相遇的正负电子一样,在最后的绚烂中走向陨灭。所以,涡旋的寿命实际上是这两个过程所用时间的总和。这样我们就可以理解,如果扩散过程很快,涡旋寿命主要取决于湮灭过程,也就是看准束缚态的稳定性,相比之下,如果漩涡的随机运动很慢,则可能需要相当长的时间,涡流才能彼此靠近,那涡旋寿命主要就取决于扩散时间。
在BEC体系中,几乎所有的费米子都配对成玻色子分子,而在中间态或BCS体系中,有相当一部分未配对的费米子。最近的一项研究显示,当系统从BEC态渡越到BCS状态时,由于涡旋和未配对费米子之间相互碰撞的快速增加,涡旋扩散的速度也急剧增加[5]。也就是说,在BCS状态下,扩散过程相对较快,因此,相对较慢的湮灭过程对涡流寿命的贡献最大。温度越低,超流在整个体系中的份额就越多,湮灭率也就越高,导致寿命缩短;而在BEC状态下,涡流寿命主要取决于相对缓慢的扩散过程,很显然,温度越低,扩散越慢,所以涡旋寿命随着温度的降低而变长。
当然,这种解释只是定性的,BEC和BCS交叉区域附近的涡旋动力学,还在吸引着更多的科学家进行理论和实验研究,未来,希望能给出更准确的定量的解释,帮助我们理解费米体系下的超流和涡旋。
这三部曲的实验,是人们第一次对费米超流系统中的随机涡旋进行系统性实验研究,给出了费米涡旋从产生到湮灭的时空全貌。实验利用费米超流的高度可调谐性,展示了不同状态下的时空规律,明确显示了不同系统的时空普适性。这是玻色超流系统无法实现的。特别是,对于BEC-BCS渡越区涡旋衰减行为的精确测量,观测到了涡旋衰减速率在整个crossover区出人意料的行为。这些都将极大地推动我们对涡旋衰减动力学过程的理解。
参考文献
[1] https://journals.aps.org/prl/abstract/10.1103/PhysRevLett.117.145301
[2] https://journals.aps.org/prresearch/abstract/10.1103/PhysRevResearch.3.043115
[3] https://journals.aps.org/prl/abstract/10.1103/PhysRevLett.126.185302
[4] https://journals.aps.org/prl/abstract/10.1103/PhysRevLett.129.163602
[5] https://www.nature.com/articles/s41586-021-04047-4
本文来自微信公众号:墨子沙龙(ID:MiciusSalon),作者:林梅
相关推荐
你知道“天才少年”曹原研究的是啥吗?
曾被放弃的超导芯片,会是突破物理极限的希望吗?
室温超导希望再现,但疑虑犹存
科学家们的百年超导之路
室温超导新成果或已光速证伪
「室温超导」,跨时代发现还是惊天诈骗?
致新媒体人:你知道“内容质量模型“吗?
你知道投资比特币的最佳时间吗?
听说过坟头蹦迪,但你听说过坟头挖矿么?
从1.1°到1.56°:室温超导?
网址: 听说过超导,但你知道它的“孪生兄弟”吗? http://m.xishuta.cn/newsview73906.html